Question
Answer the questions that follow:
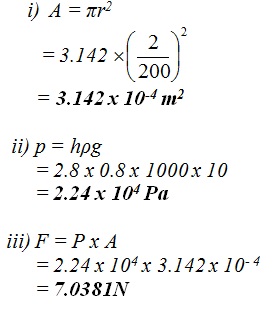
The figure below shows a cylindrical can filled with a liquid of density 0.8 g cm-3. A hole of diameter 2.0 cm is drilled at a depth of 2.8 m from the top of the can.
br>
Determine:
i. The cross-sectional area of the hole.
ii. The maximum pressure exerted by the liquid at the hole.
iii. The maximum force exerted on a jet of liquid through the hole.
The figure below shows a cylindrical can filled with a liquid of density 0.8 g cm-3. A hole of diameter 2.0 cm is drilled at a depth of 2.8 m from the top of the can.
br>
Determine:i. The cross-sectional area of the hole.
ii. The maximum pressure exerted by the liquid at the hole.
iii. The maximum force exerted on a jet of liquid through the hole.
Answer
